Nach einem tödlichen Unfall im Bereich der Eisbachwelle (E1) am Gründonnerstag 2025 sollte im Auftrag der Landeshauptstadt München die Strömungssituation unterhalb der Prinzregentenstraße detailliert mittels physikalischer und numerischer Modellversuche analysiert werden. Dazu gehörte auch die hydraulische Rolle der Störsteine sowie der linksseitigen Betonterrasse und deren Einfluss auf die hydraulische Dynamik. Hinweis: Bei dem vorliegenden Projekt ging es weder um die Wiederherstellung der Eisbachwelle als Surfwelle, noch um die Aufklärung des Unfallhergangs.
Hintergrund: Historisch unterlagen die Münchener Stadtbäche zahlreichen Wandlungen und die heutige Situation ist das Resultat jahrhundertelanger Umbaumaßnahmen (siehe „Geschichte der Münchner Stadtbäche“ von Christine Rädlinger). Insbesondere für die Olympischen Spiele 1972 erfolgten zahlreiche Umbaumaßnahmen, so dass heutzutage nur noch wenige Relikte der Münchener Stadtbäche vorhanden sind.
Eisbach: Der Eisbach wird maßgeblich durch ein linksseitiges Einlassbauwerk (Einlauf Fabrikbach) der Isar kurz oberhalb des Praterwehrs gespeist. In diesem Bereich befindet sich zudem das Wehr 6, welches im Falle von Hochwasser eine Entlastung durchführen kann. Entsprechend bilden das Praterwehr (mit Kraftwerk) sowie das Wehr 6 die Randbedingungen für den Oberwasserstand am Einlassbauwerk des Fabrikbachs. Hier befindet sich zudem eine Rechenanlage (inkl. Rechenreinigung) sowie Verschluss- und Regulierschütze. Kurz nach dem Schütz folgen diverse Verwindungen des Bachs und im weiteren Verlauf teilt sich der Fabrikbach in den Stadtmühlbach sowie den Stadtsägmühlbach auf; diese beiden Bäche werden unterhalb der Prinzregentenstraße zum Eisbach vereint; hier bildet sich auch die berühmte Eisbachwelle aus.


Im Zuge des Projektes wurden zur detaillierten Analyse der Strömungssituation folgende etablierte Verfahren angewendet:
- In-situ-Messungen zur Bestimmung der Geschwindigkeitsverteilung im Unterwasser sowie zur Ermittlung der Abflussaufteilung links (Stadtmühlbach) und rechts (Stadtsägmühlbach).
- Numerische Simulationen zur einfachen Variation von geometrischen Randbedingungen
- Physikalische Modellierung zur Bestimmung der Ist-Situation sowie zur Variantenuntersuchung
In-situ-Messungen wurden im Juli 2025 mit einem ADCP-Messboot durchgeführt. Ergänzend noch einmal im Oktober 2025 (nach erfolgter turnusmäßiger Bachauskehr) und in einem anderen Zusammenhang im März 2026. Aufgezeichnet wurden jeweils Geschwindigkeiten/Durchflüsse sowie Wasserstände. Es zeigt sich deutlich die stark rechtsseitig ausgeprägte Verteilung des Durchflusses aufgrund der asymmetrischen Zuflusssituation (Auslass Brücke Prinzregentenstraße). Das Geschwindigkeitsprofil wurde dabei ca. 40 m unterhalb der Brücke Prinzregentenstraße aufgezeichnet.


Numerische Simulationen wurden in OpenFoam (InterFoam) mit ca. 40 Mio. Zellen durchgeführt. Da das Hauptuntersuchungsgebiet im Unterwasser im Bereich des Wechselsprungs lag, wurden Large-Eddy-Simulationen (LES) herangezogen, um die Wirbelstrukturen gut auflösen zu können. Der Fokus lag nicht auf Ablöseprozessen im Sohlbereich. Mit Hilfe der numerischen Simulationen konnte nachgewiesen werden, dass die Ist-Situation zum Zeitpunkt der In-situ-Messungen im Juli 2025 (grüne Welle, surfbar) gut abgebildet werden kann. Später konnte auch die Situation nach der Bachauskehr 2025 (weiße Welle, nicht surfbar) detailgetreu nachgebildet werden. Hinweis: Im Zuge der planmäßigen Bachauskehr im Oktober 2025 zur handnahen Bauwerksüberprüfung wurden Moos und Kies entfernt und die Bauwerksoberfläche instandgesetzt. Anschließend stellte sich ein Wechselsprung (weiße Welle) ohne stehende grüne Welle ein.




Das physikalische Modell wurde im Maßstab 1:5 erstellt, um Maßstabseffekte weitestgehend zu eliminieren. Nach dem Froude’schen Modellgesetz waren somit Durchflüsse von ca. 500 l/s im Labor notwendig, um die ca. 28 cbm/s des Prototypen abbilden zu können. Messtechnische Einrichtungen auf dem Stand der Technik wurden installiert (ADV-Geschwindigkeitssonde, Ultraschallsensoren, Magnetisch-induktive Durchflussmesser, etc.). Im Labormodell konnten somit die Strömungssituation detailliert analysiert und Variationen vorgenommen werden.


Ergebnisse: Mit Hilfe der durchgeführten Simulationen und Modellierungen konnte ein umfassendes und detailliertes Bild des Eisbachs im Bereich der Prinzregentenstraße generiert und analysiert werden. Die Strömungssituation ist deutlich komplexer als zunächst angenommen und zahlreiche Randbedingungen spielen eine Rolle in Bezug auf eine sich einstellende grüne Welle. Hinsichtlich der Energieumwandlung spielen die Störsteine im System nur eine untergeordnete Rolle. Die Betonterrasse verhindert jedoch das Einströmen von Kehrwasser im Wellenbereich und ohne Erhöhung der Terrasse wird die Welle teilweise weiß.
Es ist davon auszugehen, dass auch in der Vergangenheit die Eisbachwelle nicht das Potential besaß, sich ganzjährig von selbst als surfbare Welle auszubilden. Insbesondere variierende Abflussverhältnisse führten dazu, dass die Welle regelmäßig in sich zusammenfiel und ein Weißwasserzustand auftrat. Die Surferinnen und Surfer haben daher bereits früh nicht-genehmigte Einbauten in Form von Brettern (Kickern) vorgenommen und diese im Uferbereich sowie an der Brücke über die Prinzregentenstraße befestigt (siehe z. B. Artikel in der SZ). Über die variierende Platzierung und Anwinkelung der Einbauten wurde nahezu ganzjährige eine grüne Welle generiert. Diese Bretter (oft als dreiteilige Rampe bezeichnet) wurden dabei links- und rechtsseitig nahe dem Ufer eingebracht (kurze Rampen) sowie mittig als große Rampe; daher der Begriff der dreiteiligen Rampe.
Aus den Erfahrungen der vergangenen Monate hinsichtlich der physikalischen und numerischen Modellierung des Eisbaches bestätigt sich zunehmend die Erkenntnis, dass die Eisbachwelle hochgradig sensibel in Bezug auf die ursprüngliche Geometrie ist. Diese Aussage bezieht sich zunächst auf einen Bauzustand ohne Moos, ohne Kiesablagerungen und ohne Einbauten. Es kann eindeutig dargelegt werden, dass die Eisbachwelle (ohne modellierende Einbauten) nicht stabil und nicht resistent gegenüber unterschiedlichen hydraulischen Situationen ist. Es kann ferner geschlussfolgert werden, dass sich die Welle bislang nur unter dem Einfluss von eingebrachten Brettern ganzjährig stabil als grüne Welle ausgebildet hat. Auf variierende Zufluss- und Unterwassersituationen reagierten die Surferinnen und Surfer stets mit einer Justierung der Bretter (z. B. Anstellwinkel). Dies korreliert mit Aussagen von Surferinnen und Surfern, u. a. im Film „Keep Surfing“ (2010) von Richie Loeb. Schlussfolgernd bleibt festzuhalten, dass ohne Einbauten nur in besonderen, hinsichtlich der hydraulischen Situation äußerst günstigen Ausnahmefällen eine grüne Welle, surfbare Welle möglich ist.
Nach der turnusmäßigen Bachauskehr im Oktober 2025 (s. o.) und dem damit einhergehenden Entfernen von Moos und Kies stellte sich keine grüne Welle mehr ein und das System reagierte mit einem durch Weißwasser geprägten Wechselsprung. Kiesanhäufungen von wenigen Zentimetern wurden entfernt, auch lokale Erhöhungen von ca. 20 cm. Dass dieses Material zuvor liegengeblieben ist, hat zweierlei Ursachen: (1) über die vielen Jahre Betrieb mit eingebauter Rampe konnte das Material etwas „verbacken“ und es gab ggf. nicht nur rolliges Material, (2) im Lee der Rampe als auch unterhalb einer grünen Welle entsteht hydraulisch betrachtet ein relativ strömungsberuhigter Bereich, in dem sich das eingeschwemmte Material ablagern kann. (1) und (2) gehen in Symbiose einher. Es ist nicht ausgeschlossen, dass diese Kiesanhäufungen die grüne Welle triggern können; ein maßgeblicher Einfluss des Kieses auf die sich ausbildende Welle ist aber aufgrund der gewonnenen Erkenntnisse aus dem physikalischen Modell als ausgeschlossen zu betrachten.
Hinsichtlich des Mooses wird in etwaigen Erläuterungen auf den Prozess der Ablösung verwiesen und es ist die Rede von einem an der Sohle anliegenden Schussstrahl. Auch dies konnte in der Form nicht bestätigt werden. Jedoch beeinflusst die durch Moos hervorgerufene Rauigkeit der Bauwerkssohle den Schussstrahl und verlangsamt diesen, was einen Einfluss auf die Welle nimmt. Es ist entsprechend von einem Froudezahl-dominierten System (nicht Reynoldszahl) auszugehen.
An dieser Stelle seien die einflussnehmenden Parameter sowie die Besonderheiten der Eisbachwelle zusammenfassend dargestellt:
1) Die Eisbachwelle ist aufgrund der asymmetrischen Zuströmung und der dreidimensional ausgeprägten Strömungssituation hoch sensibel. Die Strömung ist sehr komplex und das System reagiert sehr stark auf eine gewisse Anzahl an Parametern. Dabei spielen die Störsteine nur eine untergeordnete Rolle. Der Durchfluss ist links (Stadtmühlbach) und rechts (Stadtsägmühlbach) relativ gleichverteilt. Eine kleine Variation des Durchflusses in Bezug auf eine andere Aufteilung hat nur geringen Einfluss, da sich die Strömung insgesamt im rechten Bereich der Eisbachwelle kumuliert. Im Zulaufbereich entstehen zudem im Stadtmühlbach und im Stadtsägmühlbach durch Richtungsänderungen in der Geometrie, insbesondere rechtsseitig, kleinere stehende Wellen im System.

2) Die Strömung an der Eisbachwelle drückt, wie oben erwähnt, aufgrund der Zuflussgeometrie stark ausgeprägt nach rechts. Entsprechend reagiert das System links- und rechtsseitig auf unterschiedliche Grenzwerte der einflussnehmenden Parameter. Die linke Seite hat grundsätzlich immer eher die Tendenz, eine grüne Welle auszubilden.

3) Einbauten (Kicker) ermöglichen bei bekannter Platzierung das sofortige Einstellen einer grünen Welle. Dabei kann über die Position und den Anstellwinkel der Kicker unmittelbar auf sich ändernde Randbedingungen reagiert werden. Im Labor lässt sich die Wirkungswiese mit einfachsten Mitteln aufzeigen.

4) Einer der Key-Parameter ist der Unterwasserstand. Entgegen der Vermutung, dieser müsse sehr niedrig sein, stellt sich heraus, dass eine grüne Welle beim Ansteigen des Unterwasserstands getriggert wird. Es bedarf einer gewissen Stützwassermenge, damit keine ausgeprägte Deckwalze entsteht und das Unterwasser gegen die schießende Strömung wirkt (dies bestätigt zudem die einschlägige Literatur). Ab einem bestimmten Punkt stellt sich eine grüne Welle ein. Diese kann sofort wieder in einer Weißwasserwelle gewandelt werden, wenn der Unterwasserstand reduziert wird. Steigt das Unterwasser aber zu stark an, so fehlt es an Fallhöhe und es herrscht ein Zustand ähnlich eines unvollkommenen Wehrs, so dass keine eindeutige Welle mehr identifizierbar ist.


Am Eisbach ist die Unterwassersituation nicht trivial, da händisch Dammbalken im Bereich des Zulaufs zum Schwabinger Bach gesetzt oder entfernt werden. Bei geringen Durchflüssen im Eisbach sind Dammbalken zu entfernen, um den Zufluss zum Schwabinger Bach zu gewährleisten. Hier spielen zahlreiche Faktoren, wie Hochwasserschutz, Flora und Fauna, eine maßgebliche Rolle. Entsprechend ist eine einfache Regulierungsmöglichkeit des Unterwassers zur Erzeugung einer grünen Eisbachwelle nicht gegeben. Grundsätzlich nimmt das unterwasserseitig installierte Dammbalkensystem Einfluss auf die Strömung im Eisbach (strömender Abfluss). Dabei stellt sich aufgrund der Überfallformel (Poleni) bei erhöhtem Durchfluss automatisch ein höherer Unterwasserstand ein und umgekehrt.
5) Die Rauigkeit im Bereich der Schussstrecke ist ein weiterer Key-Parameter. Dabei spielt jedoch die Reynoldszahl nur eine untergeordnete Rolle und der Prozess der Ablösung der Strömung ist hier als nicht maßgeblich relevant zu betrachten. Eine leichte Reduzierung der Froudezahl (Geschwindigkeitsreduzierung durch erhöhte Rauheit) reicht dabei aus, um auch bei weniger Unterwasserstand als bei einer sehr glatten Schussstrecke eine grüne Welle zu generieren. Bei weiter sinkendem Unterwasserstand, unter ein kritisches Maß, wird die Welle aber erneut umgehend weiß.


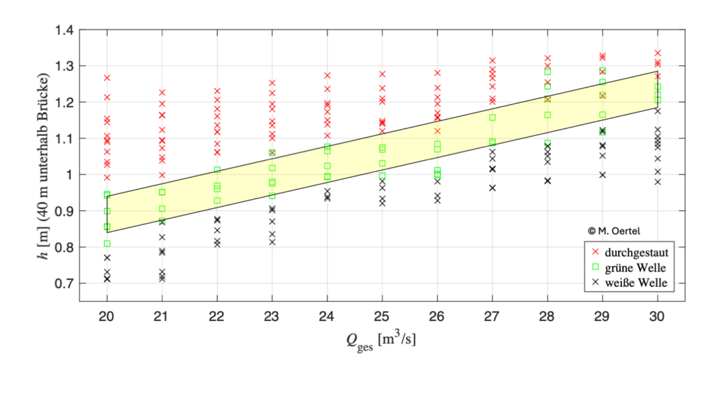
Die Kombination aus dem Unterwasserstand und der Zufluss-Froudezahl ist entsprechend von entscheidender Bedeutung. Steigt die Froudezahl auf der Schussstrecke, so ist ein höherer Unterwasserstand notwendig, um genügend Staudruck zu erzeugen, um eine grüne Welle zu generieren. Allerdings fehlt es dann auch irgendwann an Fallhöhe, um den Prozess der grünen Wellengenerierung zu durchlaufen. Zudem begrenzt die Ausuferung des Gerinnes die Möglichkeiten. Schlussfolgernd gibt es nur einen kleinen definierten Bereich, in dem eine grüne Welle ausgebildet wird. Die Grafik zeigt diesen Bereich für den Fall, dass keine Einbauten im System sind und dass die Schussstrecken eine Rauigkeit in Form von Moos aufweist.


6) Eingebrachter Kies bleibt unter einer grünen Welle sofort liegen; spült aber unmittelbar nach dem sich Einstellen einer weißen Welle wieder aus. Tendenziell lagert linksseitig immer eine größere Menge Material ab. Der Kies hat kaum Einfluss auf die sich einstellende grüne Welle.
(c) 2025/2026 Univ.-Prof. Dr.–Ing. habil. Mario Oertel, alle Textpassagen und Bilder sind urheberrechtlich geschützt und dürfen nicht ohne schriftliche Zustimmung des Verfassers verwendet werden.
Letzte Änderung: 16. April 2026